Aplicações e curiosidades sobre o processamento de sinais acústicos
Medições acústicas vão muito além de um número (ou trinta e um números) de nível de pressão sonora. O que o sonômetro mostra na tela é o resultado já processado da medição realizada, a partir da aplicação de filtros e ponderações. Porém você sabia que é possível obter muitas informações relevantes apenas com a gravação de um sinal de áudio?
Esse artigo irá abordar algumas das possibilidades que o processamento digital de sinais acústicos permite. Algumas delas são a obtenção de parâmetros acústicos como o tempo de reverberação, EDT, claridade e definição, a convolução de sinais para a criação de aurilizações, a utilização de filtros para a exclusão ou otimização de algum sinal, criação de efeitos sonoros, ou a localização de fontes.
Aplicação do processamento digital de sinais para acústica de salas
Basicamente, trataremos a sala como um sistema linear e invariante no tempo. Por sistema, entende-se o processo no qual um sinal de entrada (no caso o som, que pode ser gerado a partir de uma fonte omnidirecional ou pelo sistema eletroacústico da sala) é transformado em um sinal de saída (o som captado pelo microfone). Nesse caso, as reflexões da sala agirão como um modificador para o sinal de entrada. Um sistema linear é um tipo de sistema em que algumas propriedades são satisfeitas, dentre elas a superposição. Essa propriedade indica que a resposta do sistema a um ou mais sinais de entrada simultâneos é a mesma que a entrada de cada um deles separadamente. Ou seja, uma sala agirá da mesma forma se tiver apenas um locutor ou mais de um locutor simultaneamente. Já a invariabilidade no tempo indica que as características do sistema se mantêm iguais com o passar do tempo, ou seja, em uma sala não são adicionados novos materiais de absorção durante a medição acústica, portanto a invariabilidade no tempo.
Em acústica de salas saber usar as ferramentas para processamento digital de sinais pode poupar bastante dinheiro, já que os módulos para obtenção do tempo de reverberação diretamente pelo sonômetro podem ser caros. Para tanto, é necessário a gravação de um sinal de áudio, ou pelo menos, salvar a medição no domínio do tempo.
A Transformada de Fourier e a resposta ao impulso
A Transformada de Fourier é uma poderosa ferramenta para o processamento digital de sinais para a acústica, já que ela transforma um sinal no domínio do tempo para o domínio da frequência. Enquanto trabalhar com o sinal no domínio temporal pode ser difícil e computacionalmente lento, transformá-lo para o domínio da frequência possibilita as mais diversas possibilidades. Uma delas é a obtenção da resposta ao impulso.
Com um software de programação facilmente se extrai a resposta ao impulso de um sinal no domínio do tempo através da Transformada Rápida de Fourier, chamada de FFT (Fast Fourier Transform). Basicamente, é necessário possuir o sinal de entrada (que pode ser um sweep ou um ruído branco, por exemplo) e o sinal de saída (o sinal gravado pelo microfone).
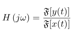
Vamos chamar o sinal de entrada de x(t) e o sinal de saída de y(t). Ao dividir a Transformada de Fourier do sinal de saída pela Transformada de Fourier do sinal de entrada, obtém-se a resposta em frequência (H(jw)) da sala para a combinação fonte-receptor medida, ou seja, como a sala se comporta ao ser excitada por cada frequência de interesse.
A resposta ao impulso pode ser definida como a resposta da sala a um estímulo sonoro que possua espectro de frequência plano, ou seja, como uma excitação igual em todo o espectro de interesse vai ser alterada dentro de uma sala. Um impulso ideal (delta de dirac) é um sinal que possui valor positivo para o instante de tempo igual à zero e valor nulo para todo o resto. Porém um sinal com essa característica é difícil (para não dizer impossível) de ser reproduzido fisicamente de forma satisfatória. Alguns métodos podem ser utilizados para tentar emular um sinal impulsivo, como o estouro de um balão ou o tiro de um revólver (sons com características impulsivas), porém esses sinais possuem limitações tanto em frequência quanto em característica temporal.
Uma alternativa para obter uma resposta ao impulso satisfatória em toda a faixa de frequências de interesse é a partir da Transformada Inversa de Fourier da resposta em frequência medida, tendo como principal limitante a resposta em frequência do sistema eletroacústico.
A resposta ao impulso da configuração fonte-sala-receptor medida pode ser descrita como a “impressão digital” daquele ponto da sala, já que toda informação referente ao comportamento sonoro do ambiente pode ser descrita a partir da obtenção desse sinal.
Obtendo alguns parâmetros acústicos a partir da resposta impulsiva da sala
Schroeder desenvolveu um método para a obtenção do tempo de reverberação a partir da obtenção da resposta impulsiva da sala. Nele, cria-se uma envoltória na curva de decaimento da resposta impulsiva plotada em escala decibel. Então, uma reta de ajuste é feita a partir dessa envoltória. Os limites para o ajuste da reta revelarão o parâmetro a ser calculado (para o T20 o ajuste de reta é feito entre -5dB e -25dB, para o T30 é entre -5dB e -35dB e para o EDT o ajuste é feito entre 0dB e -10dB).
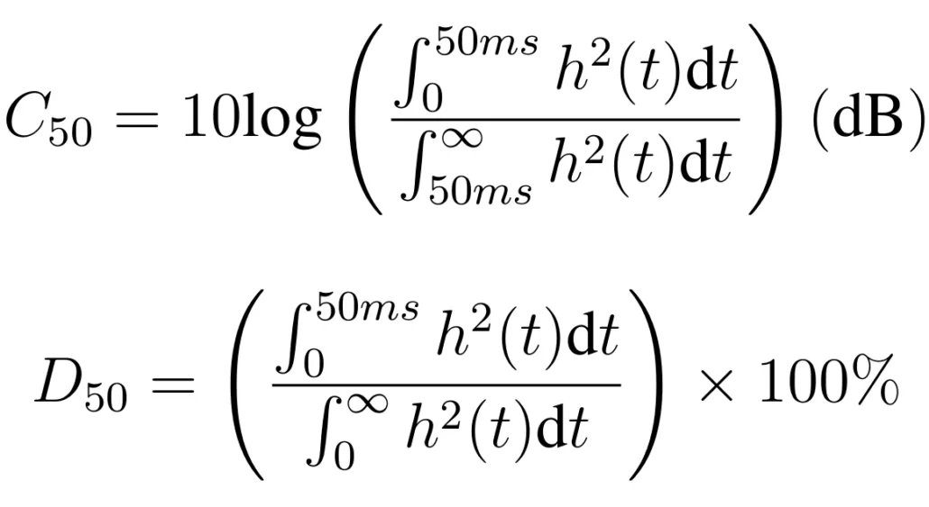
Parâmetros energéticos como definição e claridade e definição também são facilmente obtidos a partir da resposta impulsiva.
A convolução e a aurilização
A aurilização (ou auralização) vem da palavra inglesa Auralization e significa “tornar audível”. Enquanto a resposta impulsiva da sala é feita com um único microfone, a resposta impulsiva biauricular da sala é feita utilizando um par de microfones (posicionados na entrada do conduto auditivo) e uma cabeça artificial. Com isso é obtido um par de respostas impulsivas, uma para cada orelha para a configuração fonte-sala-receptor. A aurilização é produzida a partir da convolução da resposta impulsiva biauricular medida com um sinal anecóico (sem reflexões).
Porém nem todos possuem uma cabeça artificial à disposição para a medição das BRIR (Binaural Room Impulse Response – ou em português Resposta Impulsiva Biauricular da Sala), mas mesmo assim o método pode ser realizado. A beleza do processamento de sinais é justamente as inúmeras possibilidades que ele proporciona com uma instrumentação simples (quando utilizadas da forma adequada).
Utilizando um único microfone é possível realizar a aurilização, uma vez que diversas universidades disponibilizam on-line bancos de dados de HRTFs (Head related transfer function – ou as funções de transferência relacionadas à cabeça) que podem ser utilizadas no cálculo das aurilizações sem nenhuma perda em relação ao processo feito a partir das BRIR. Lembram-se quando tratamos a sala como um sistema linear? Pois nesse caso é justamente essa propriedade que permite que esse método seja posto em prática.
A partir da convolução do sinal anecóico, da resposta ao impulso da sala medida e da HRIR (Head Related Impulse Response – correspondente no domínio temporal das HRTFs) é realizada a aurilização para a configuração fonte-sala-receptor medida.
Efeitos sonoros
Muitos efeitos sonoros utilizados na música podem ser reproduzidos digitalmente a partir do processamento de sinais. Enquanto pedais de guitarra trabalham com o sinal analógico, ou seja, componentes eletrônicos modificam fisicamente o sinal elétrico que é gerado a partir da vibração das cordas, captado pelo captador e transmitido para o alto-falante a partir de cabos, no domínio digital a modificação ocorre no sinal, não sendo preciso vários componentes eletrônicos para fazer o trabalho. Um software de áudio pode criar os mais diversos efeitos, como por exemplo o delay que basicamente é uma reprodução do sinal com um certo atraso após a reprodução do sinal original, essa segunda reprodução pode sofrer alguma modificação a depender da configuração. Também podem ser reproduzidas diversas vezes o mesmo sinal sucessivamente para obter um efeito diferente.
O reverb adiciona atrasos ao som, similar ao que acontece com as reflexões de uma sala, e prolonga o som direto.
Outro efeito muito comum na música é a distorção. O que esse efeito tenta fazer é dar um ganho no sinal de forma que ele sature, o popular ”clippou”. Quando uma onda sonora é saturada, ela tende a virar gradualmente em uma onda quadrada, e quando isso é feito da forma correta, pode-se adicionar componentes harmônicas a um sinal de forma a modificar o som e dar aquele efeito rasgado e cheio que é apreciado pelos roqueiros…
Por fim, a equalização é outra utilidade do processamento de sinais. Diversas combinações de filtros passa-baixa, passa-alta e passa-banda (filtros em frequência que diminuem ou totalmente excluem uma determinada faixa de frequências) podem controlar e modificar um sinal sonoro, dando a coloração desejada.
E você, trabalha com áudio ou já teve experiências com o processamento de sjnais acústicos? Aqui no Portal Acústica estamos sempre em busca de talentos e atualmente estamos pesquisando sobre algoritmos de inteligência artificial para classificação de eventos sonoros. Se você já domina o assunto ou que aprender mais, entre em contato conosco no carreiras@portalacustica.info
Te vejo do Outro lado do Portal!















Deixe uma resposta
Want to join the discussion?Feel free to contribute!